Portal de Aquidauana

Seja bem vindo,

Cotação
Aquidauana

Estudo projeta pico de casos em 21 de julho com 2.960 confirmações de covid-19

Publicado em 02/05/2020 Editoria: Saúde


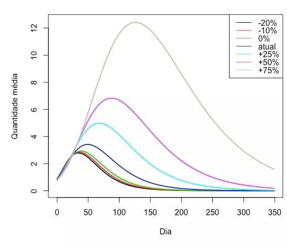
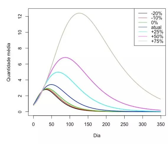
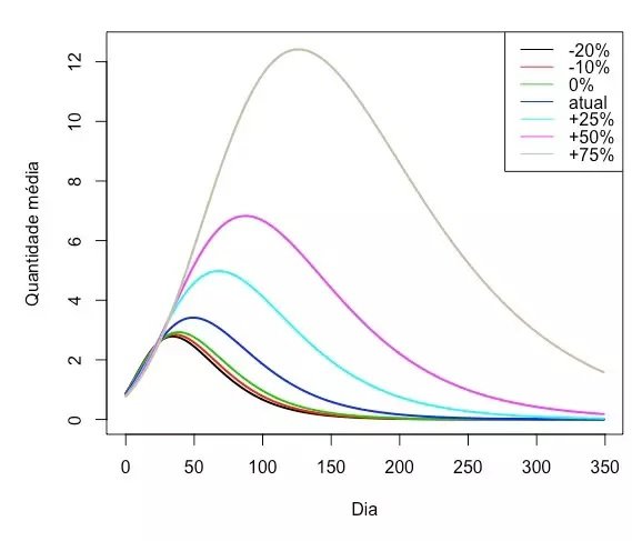
Em gráfico preparado com as informações, os valores apresentados são as estimativas para as quantidades máxima de notificação. (Fonte: UFMS)

Em gráfico preparado com as informações, os valores apresentados são as estimativas para as quantidades máxima de notificação. (Fonte: UFMS)

O pico de casos do novo coronavírus em Campo Grande deve ser atingido em 21 de julho, com 2.960 pessoas infectadas. A estimativa é de estudo da UFMS (Universidade Federal de Mato Grosso do Sul) feito a pedido da Sesau (Secretaria Municipal de Saúde).
 
Foi aplicado modelo matemático usando-se os dados já registados na cidade. Atualmente, há 128 casos confirmados na Capital, com dois óbitos. Os dados são da última quinta-feira, 30 de abril, que são os números mais recentes publicados pela prefeitura.
 
De acordo com o estudo, para se chegar ao dado do pico, foi utilizado o modelo matemático Gompertz, com o qual é possível estimar a quantidade máxima de noti&64257;cações e a data que isto irá ocorrer.
 
Os responsáveis pelo levantamento são os professores Erlandson Saraiva, do Instituto de Matemática e Leandro Sauer, da Escola de Administração e Negócios.
 
De acordo com o modelo adotado, o valor máximo de casos con&64257;rmados será alcançado em 21 de julho, quando Campo Grande estará no 130º dia desde o primeiro registro de caso confirmado, que foi em 14 de março. Até lá, deverão ser 2.960 pessoas infectadas.
 
Vale ressaltar que os números podem mudar com base na realidade aplicada ao estudo, ou seja, “se o número de pessoas infectadas aumenta, então as estimativas para o máximo também irão aumentar, assim como o ponto de inflexão (pico, para então começar a cair o número de confirmações)”, explicam os professores.
 
Mas o contrario, também pode ocorrer, já que “se diminuir a quantidade de notificações, devido por exemplo, a ações do governo, teremos uma estimativa menor para o máximo e o ponto de inflexão ficará mais próximo da data atual”, sustentam.
 
O estudo está baseado no número de casos registrado até o dia 29 de abril, quando a Capital mantinha 128 confirmações de covid-19. A última atualização, do dia 30, manteve esse dado, ou seja, não houve casos novos da doença até essa data.
 
Os pesquisadores exemplificam que houve três cenários analisados, sendo o pior deles o que prevê esse pico de 2,9 mil casos. Isso porque eles levaram em conta o acréscimo de casos registrado entre os dias 24 e 25 de abril, com 10 e 12 casos confirmados, respectivamente.
 
Para eles, “esses são valores atípicos, já que a média está entre três a quatro casos”. Caso essas datas não sejam levadas em conta, Campo Grande já estaria no pico hoje, 2 de maio.
 
“Se retirássemos esses dois dias, a estimativa iria para 349 casos e o ponto de mudança é o dia 50, ou seja, 2 de maio. Por isso, vamos ter de aguardar uma semana para saber se foi algo atípico ou se esse aumento é uma tendência e, nesse caso, acende-se o sinal vermelho”, expõem.
 
Isolamento – Segundo os pesquisadores, caso o cenário de isolamento que havia até 10 dias atrás fosse mantido, o número máximo seria ainda menor, na ordem de 365 casos. “As medidas adotadas hoje deveriam ser mantidas por mais duas semanas, pelo menos, caso contrário, essa taxa deve aumentar”, afirmam.
 
Em gráfico preparado com as informações, os valores apresentados são as estimativas para as quantidades máxima de notificação.
 
“Note que, mantendo a mesma taxa de notificação atual pelos próximos 10 dias, teremos uma redução da estimativa para a quantidade de notificação. Reduzindo a taxa de notificação obtemos o desejado “achatamento” da curva”, explicam. 
 
No entanto, “por outro lado, se houver um aumento da taxa de notificação, maior é o risco de termos um colapso do sistema de saúde, pois teremos um crescimento exponencial do número de casos. Estes resultados reforçam a importância das medidas de isolamento”, reforçam os professores


› FONTE: Campo Grande News